珍本圣经数位典藏

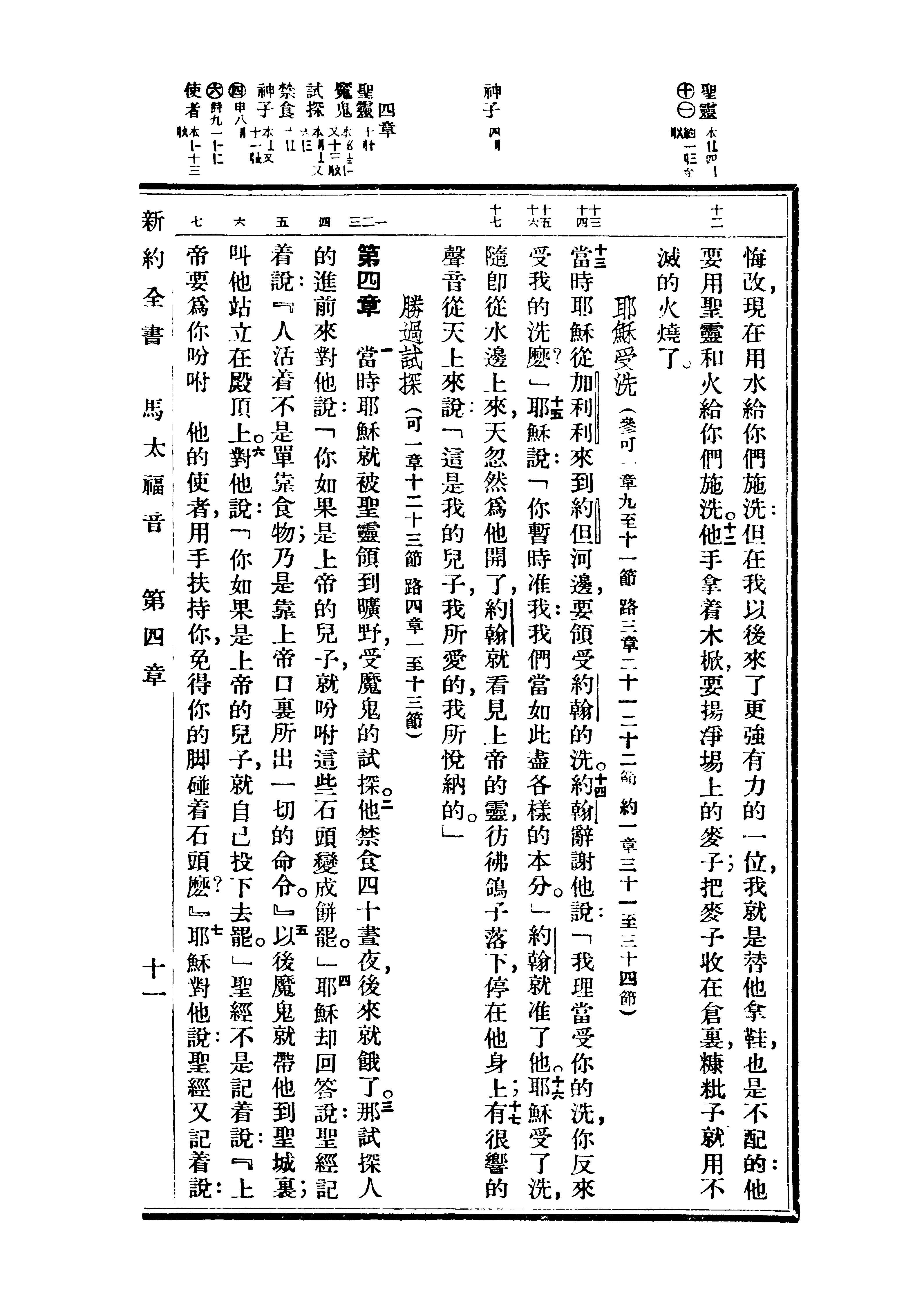
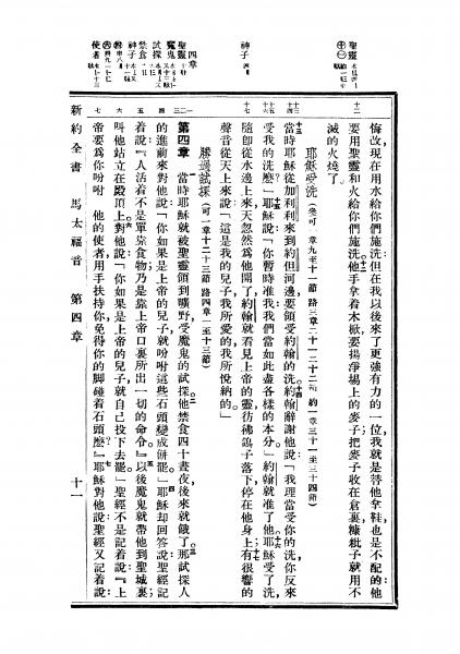
1936年重译新约全书 马太福音 3 章 11 节到 4 章 7 节

(按图可以看高解析度照片) 封面 上一页 下一页 回珍本圣经数位典藏计划首页

回珍本圣经数位典藏计划首页