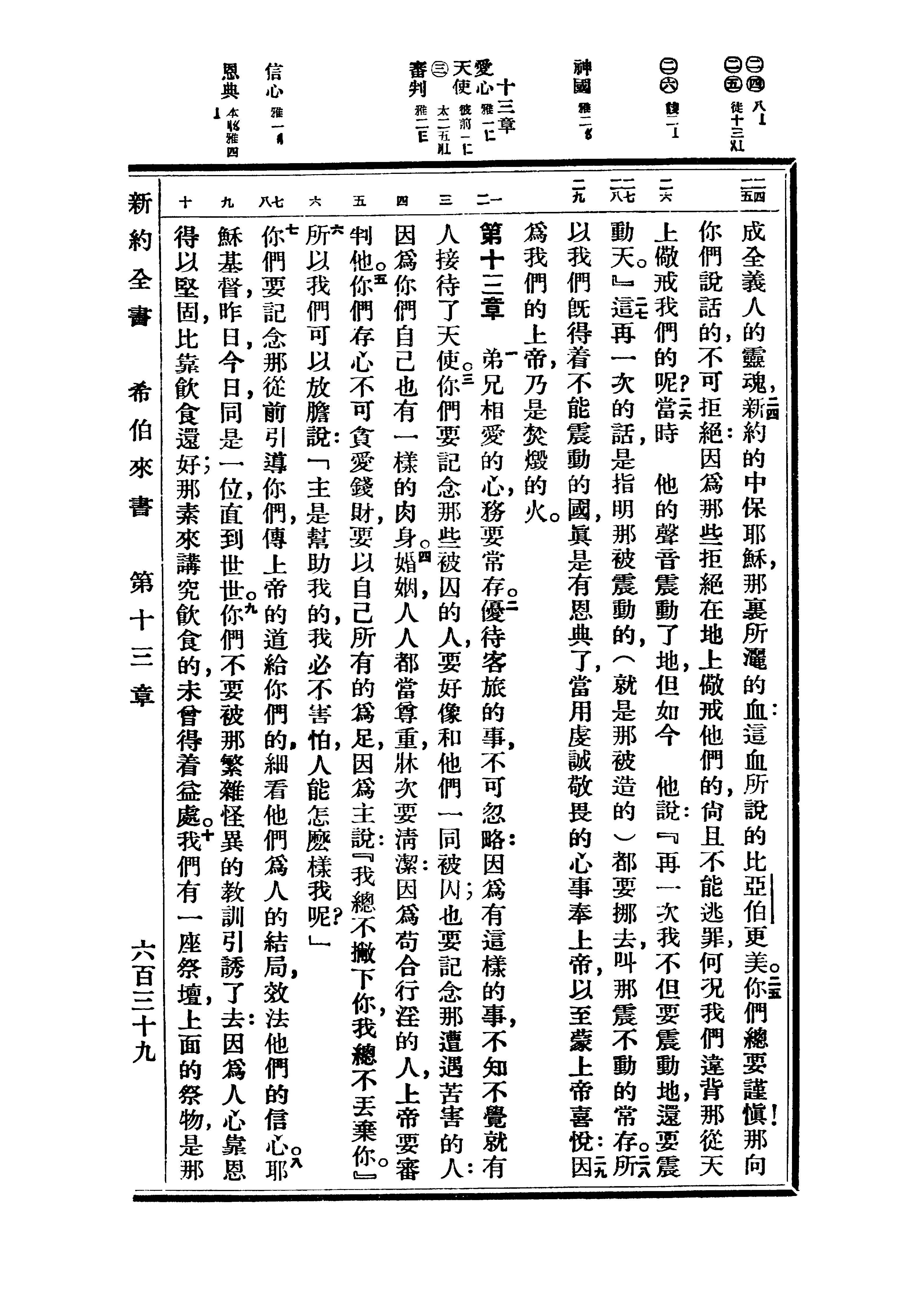
珍本圣经数位典藏

1936年重译新约全书 希伯来书 12 章 24 节到 13 章 10 节

(按图可以看高解析度照片) 封面 上一页 下一页 回珍本圣经数位典藏计划首页

回珍本圣经数位典藏计划首页