珍本圣经数位典藏

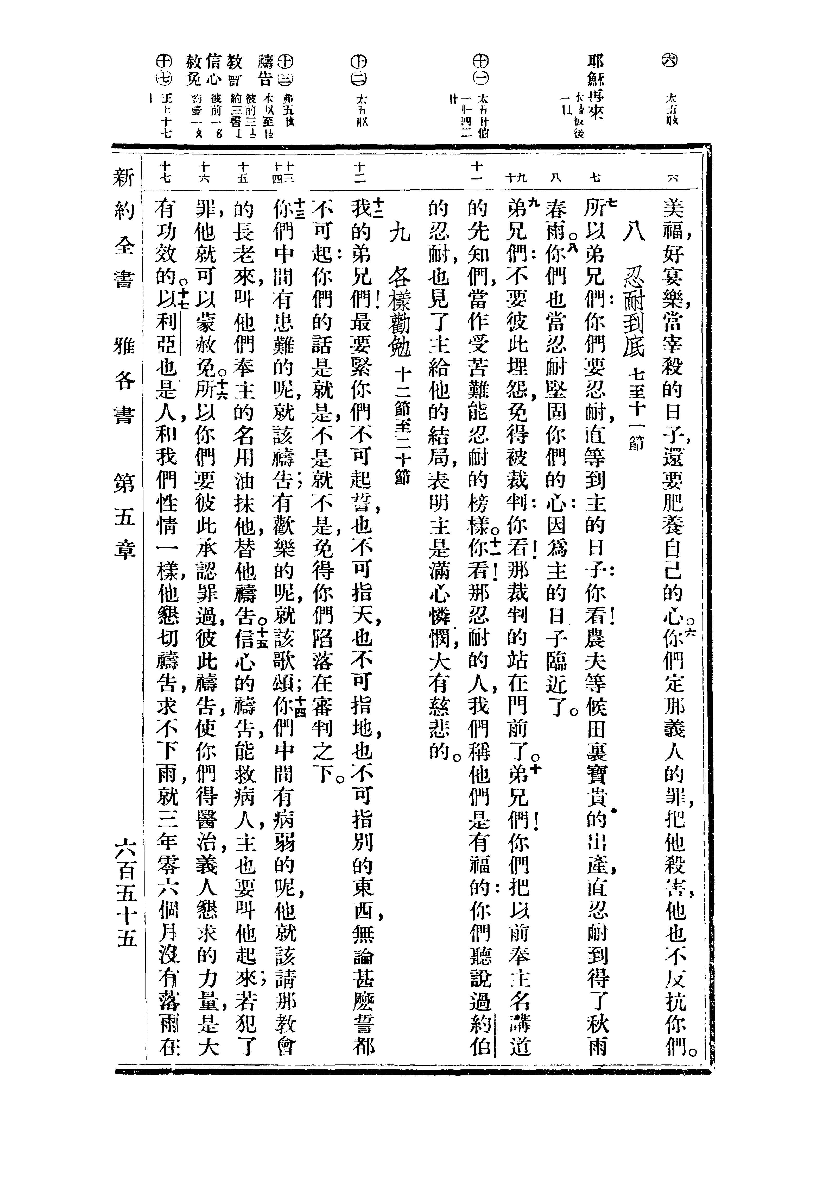
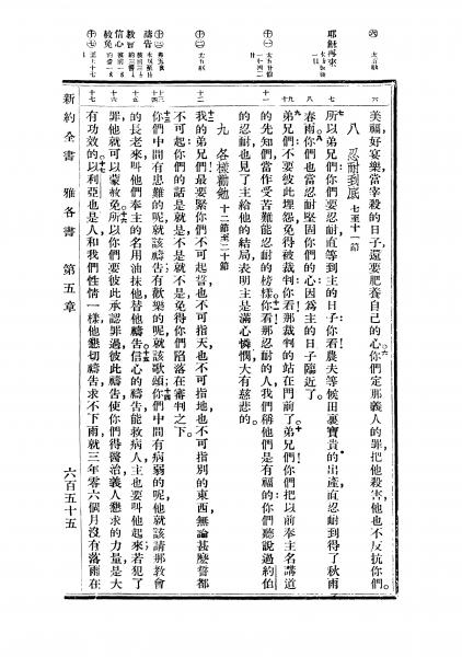
1936年重译新约全书 雅各书 5 章 5 节到 5 章 17 节

(按图可以看高解析度照片) 封面 上一页 下一页 回珍本圣经数位典藏计划首页

回珍本圣经数位典藏计划首页