珍本圣经数位典藏

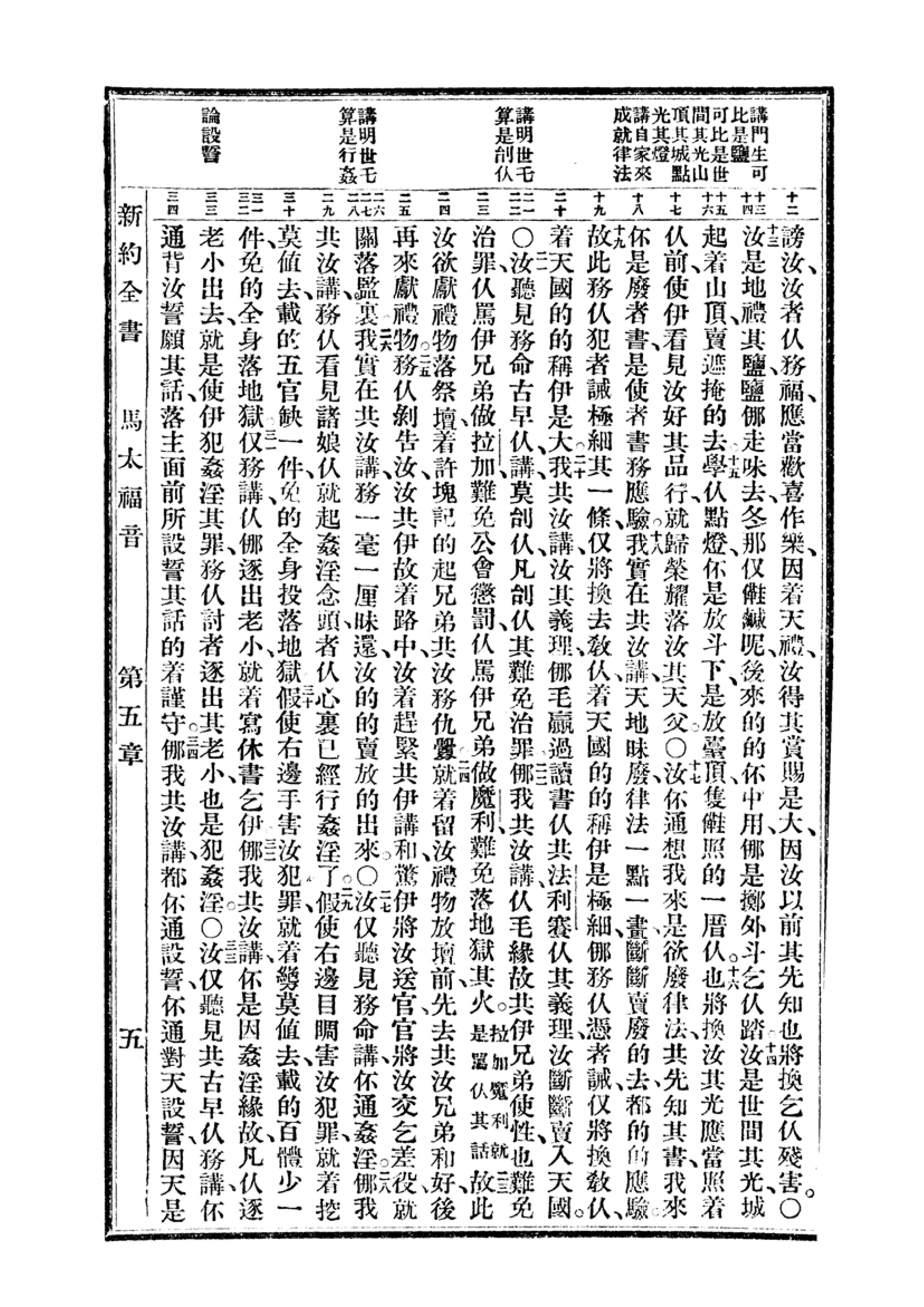
1940年福州土白《新旧约全书》 马太福音 5 章 12 节到 5 章 34 节

(按图可以看高解析度照片) 封面 上一页 下一页 回珍本圣经数位典藏计划首页

回珍本圣经数位典藏计划首页