珍本圣经数位典藏

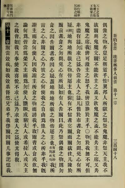
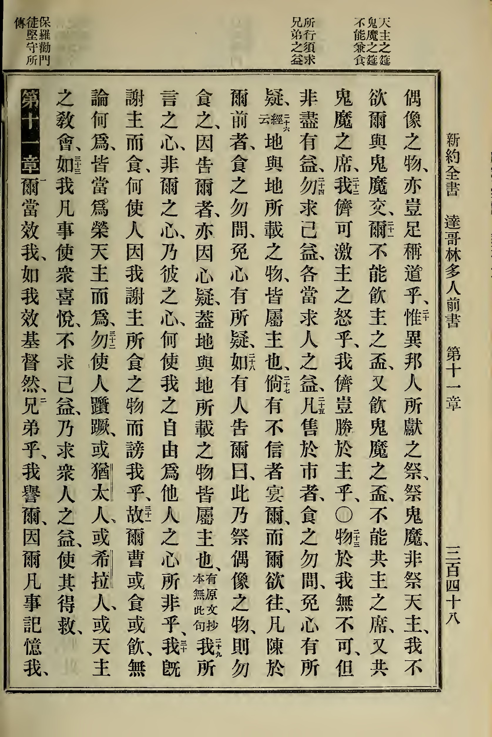
1898年新约全书 哥林多前书 10 章 20 节到 11 章 2 节

(按图可以看高解析度照片) 封面 上一页 下一页 回珍本圣经数位典藏计划首页

回珍本圣经数位典藏计划首页