珍本圣经数位典藏

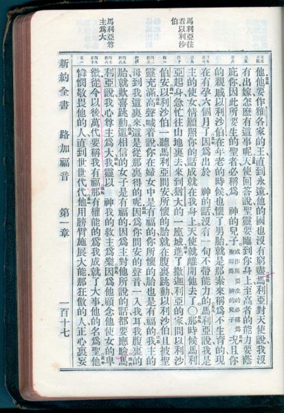
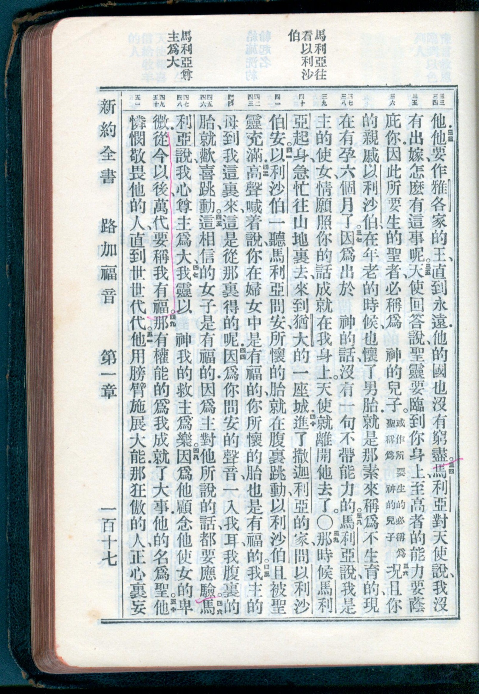
1934年新约全书(官话和合本) 路加福音 1 章 33 节到 1 章 51 节

(按图可以看高解析度照片) 封面 上一页 下一页 回珍本圣经数位典藏计划首页

回珍本圣经数位典藏计划首页