珍本圣经数位典藏

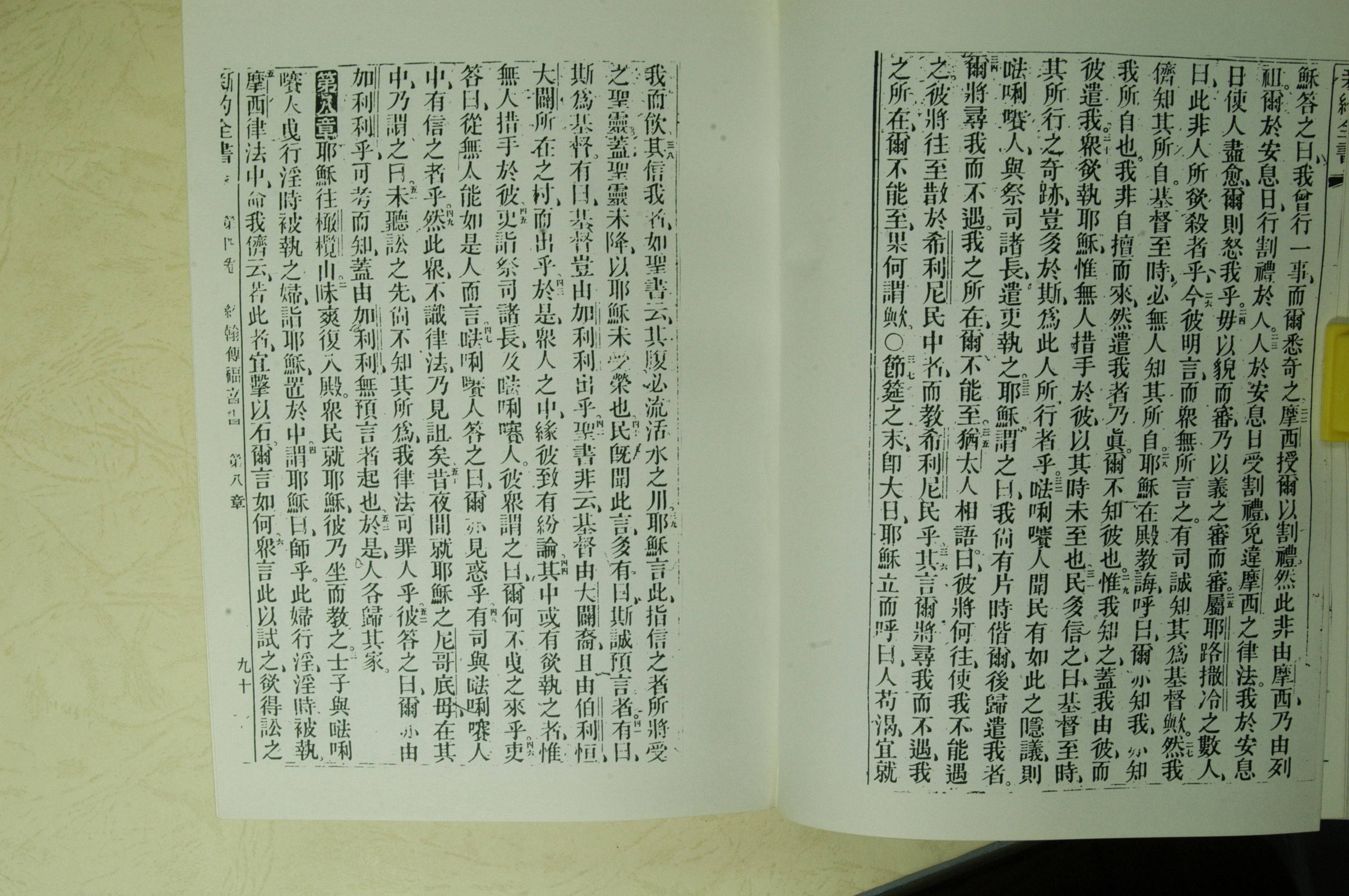
1863年新约全书 约翰福音 7 章 到 8 章

(按图可以看高解析度照片) 封面 上一页 下一页 回珍本圣经数位典藏计划首页

回珍本圣经数位典藏计划首页