珍本圣经数位典藏

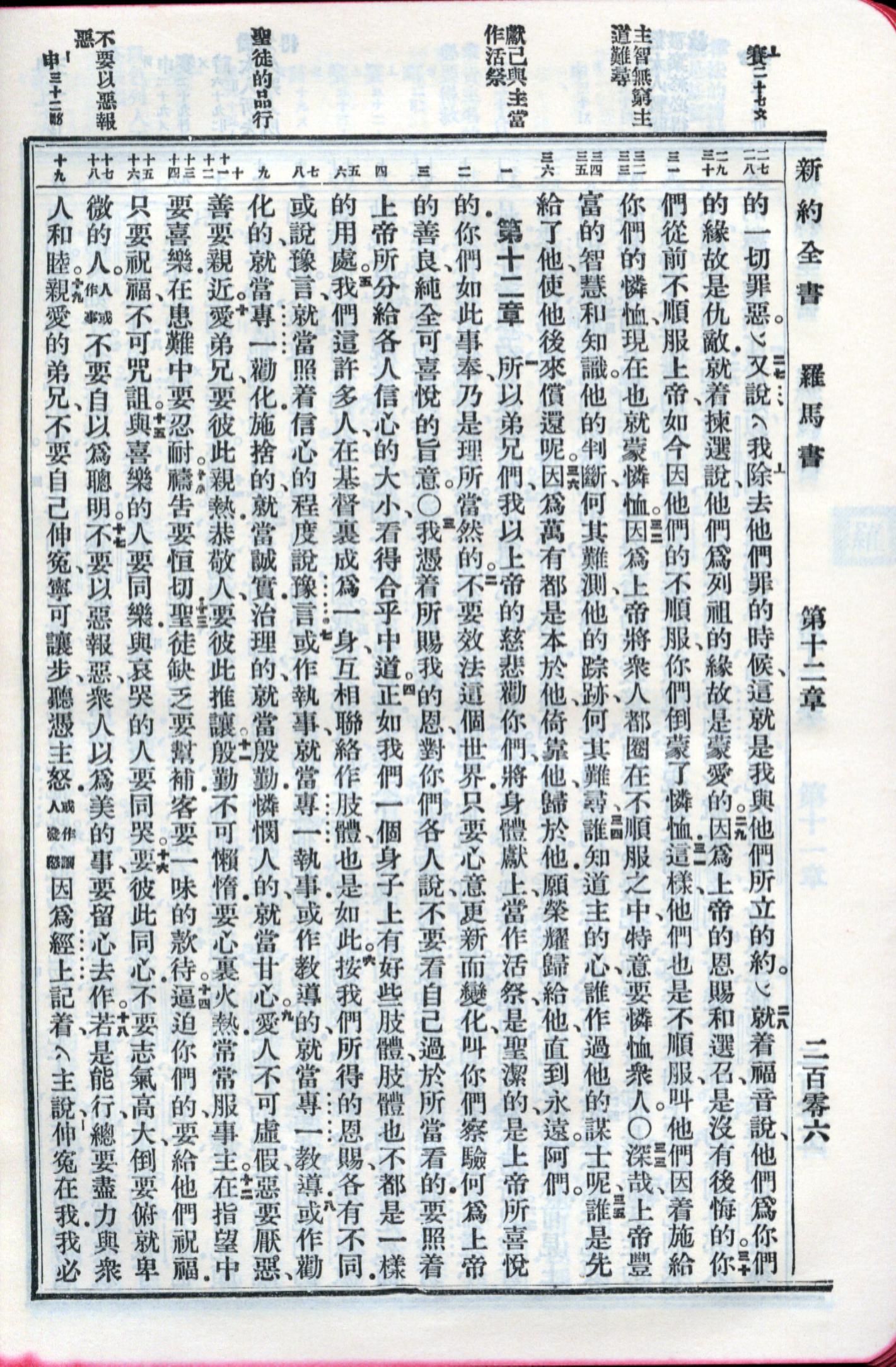
1959年新旧约全书 罗马书 11 章 27 节到 12 章 19 节

(按图可以看高解析度照片) 封面 上一页 下一页 回珍本圣经数位典藏计划首页

回珍本圣经数位典藏计划首页