珍本圣经数位典藏

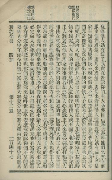
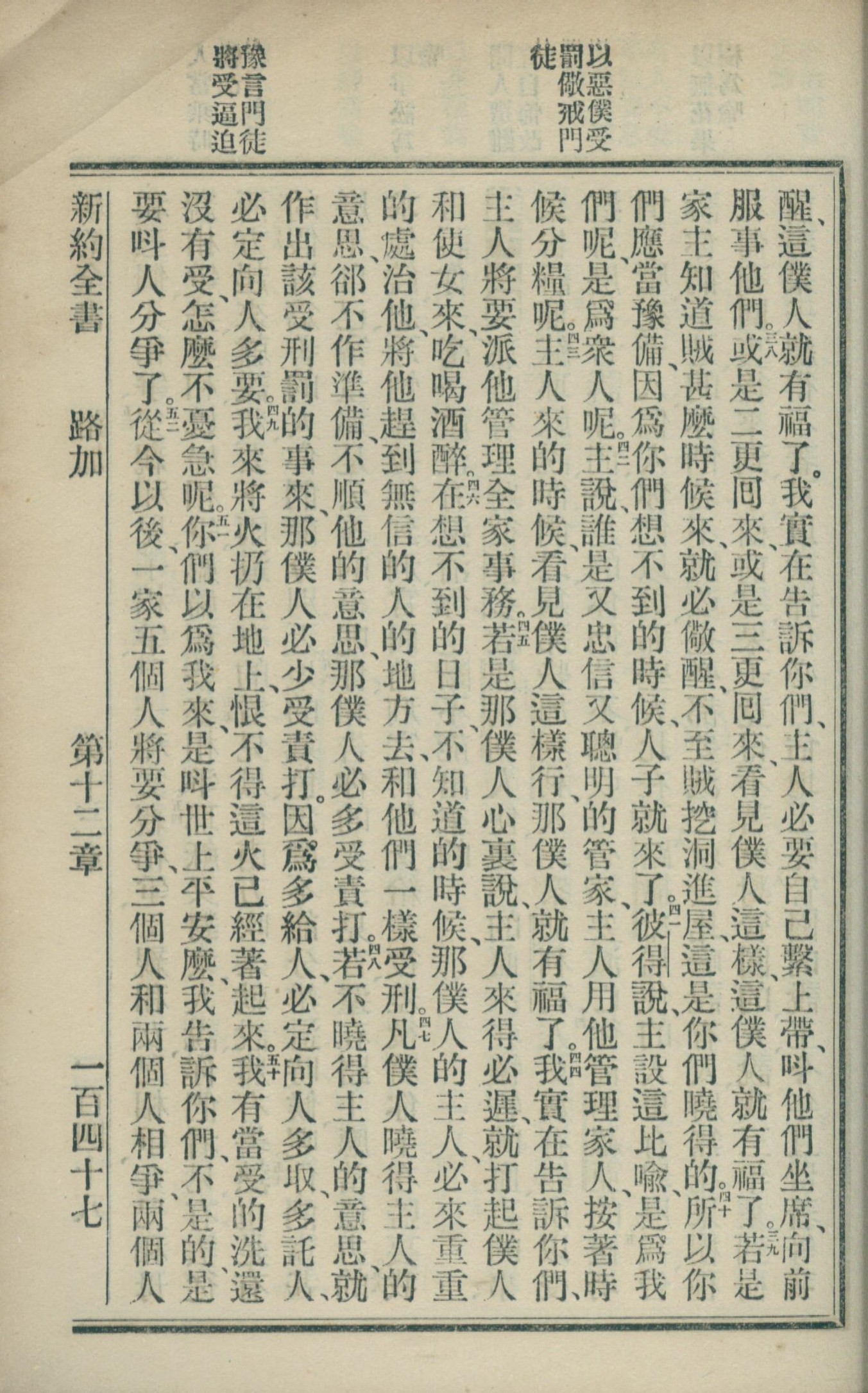
1902年新约全书 路加福音 12 章 37 节到 12 章 52 节

(按图可以看高解析度照片) 封面 上一页 下一页 回珍本圣经数位典藏计划首页

回珍本圣经数位典藏计划首页