珍本圣经数位典藏

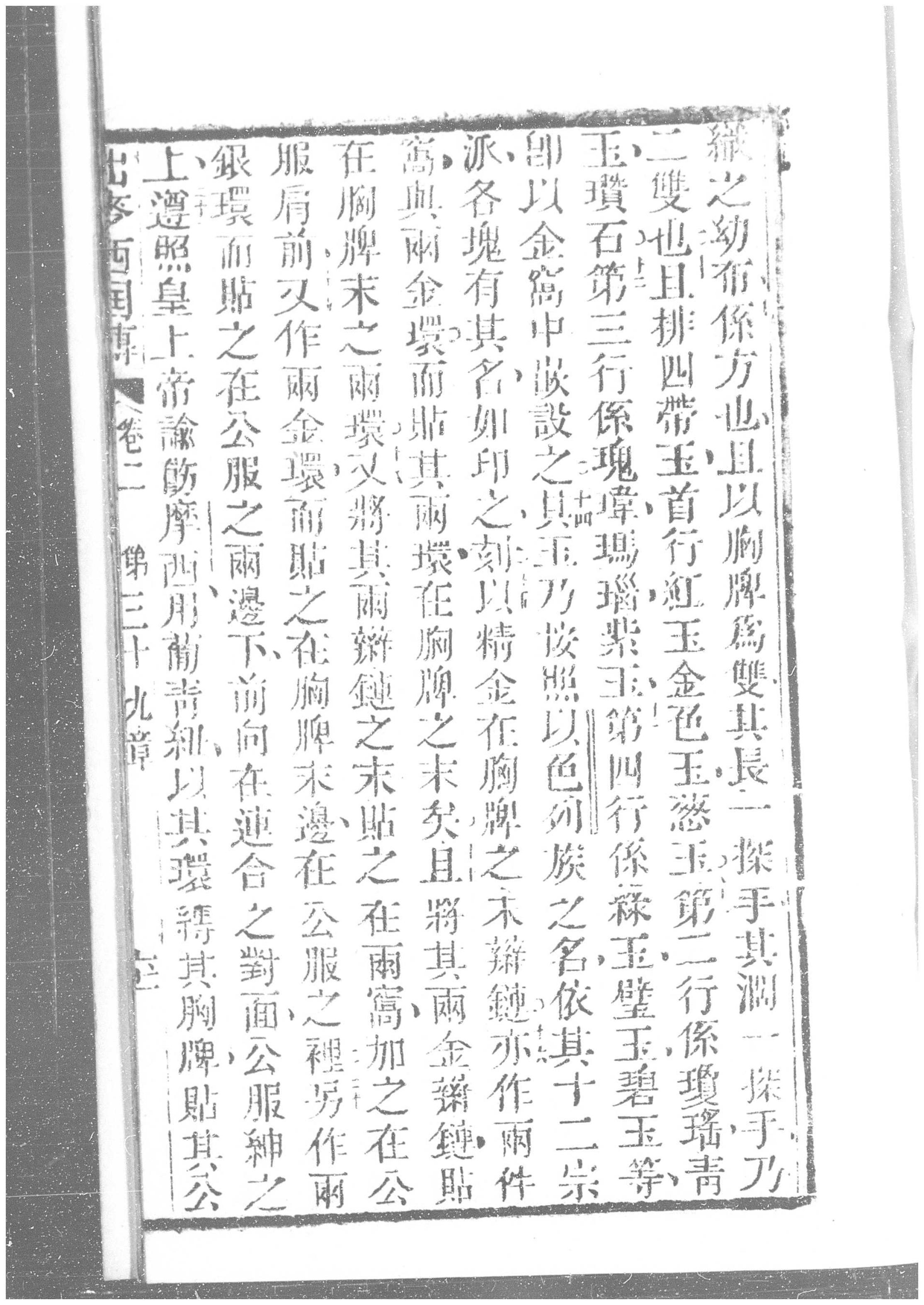
1853年太平天国-旧遗诏圣书-出麦西国传 出埃及记 39 章 9 节到 39 章 21 节

(按图可以看高解析度照片) 封面 上一页 下一页 回珍本圣经数位典藏计划首页

回珍本圣经数位典藏计划首页