珍本圣经数位典藏

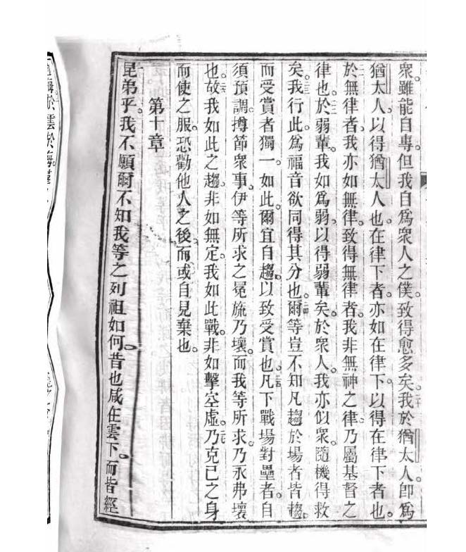
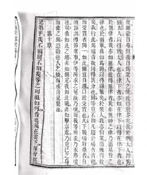
1867年胡德迈《新约传汇统》 哥林多前书 9 章 20 节到 10 章 1 节

(按图可以看高解析度照片) 封面 上一页 下一页 回珍本圣经数位典藏计划首页

回珍本圣经数位典藏计划首页