珍本圣经数位典藏

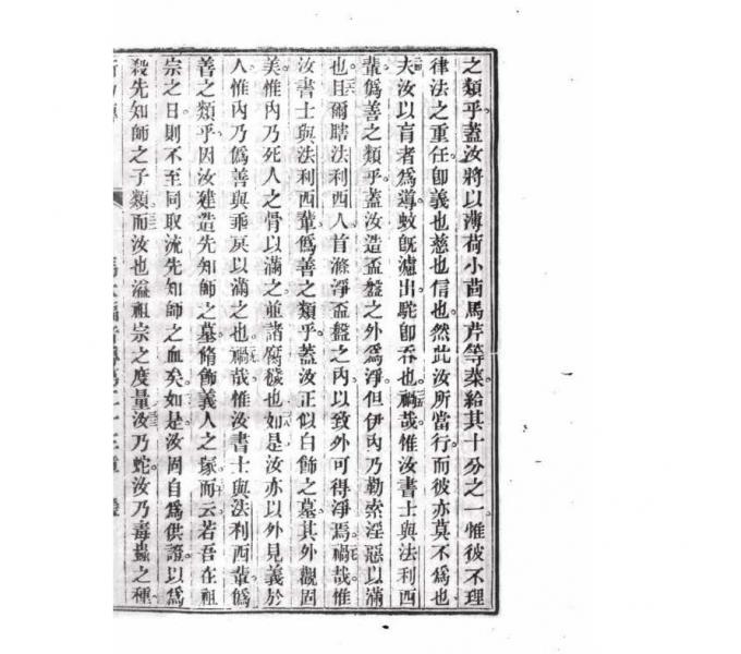
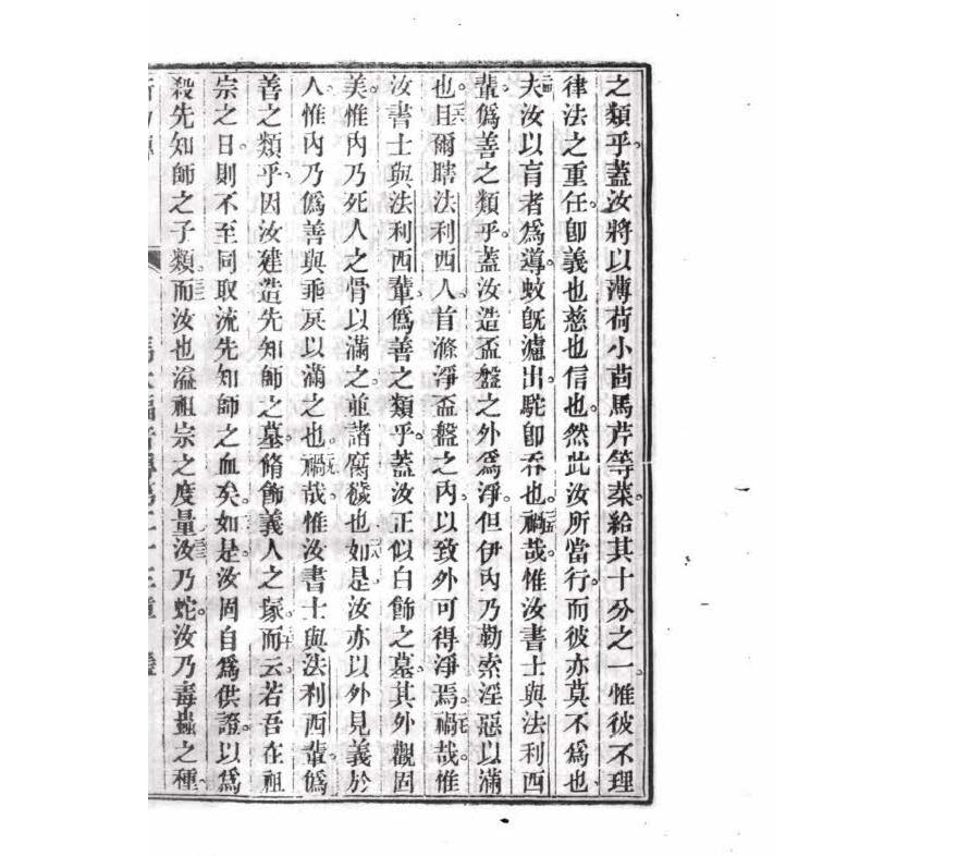
1867年胡德迈《新约传汇统》 马太福音 23 章 24 节到 23 章 33 节

(按图可以看高解析度照片) 封面 上一页 下一页 回珍本圣经数位典藏计划首页

回珍本圣经数位典藏计划首页