珍本聖經數位典藏

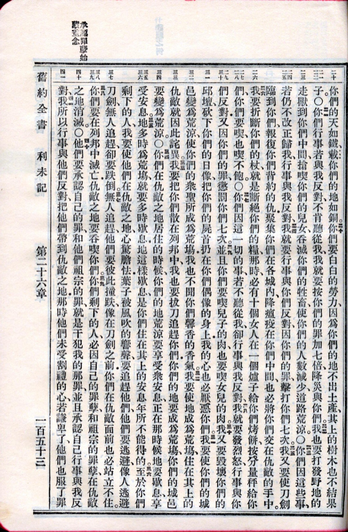
1959年新舊約全書 利未記 26 章 20 節到 26 章 41 節

(按圖可以看高解析度照片) 封面 上一頁 下一頁 回珍本聖經數位典藏計劃首頁

回珍本聖經數位典藏計劃首頁