珍本聖經數位典藏

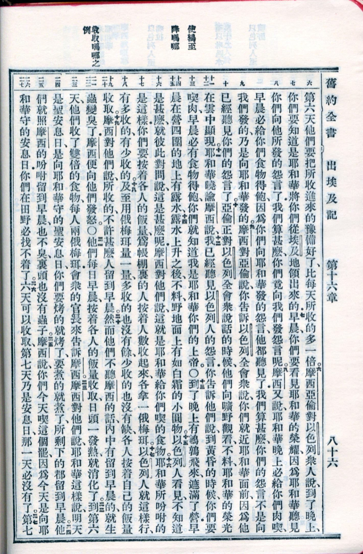
1959年新舊約全書 出埃及記 16 章 6 節到 16 章 27 節

(按圖可以看高解析度照片) 封面 上一頁 下一頁 回珍本聖經數位典藏計劃首頁

回珍本聖經數位典藏計劃首頁