珍本聖經數位典藏

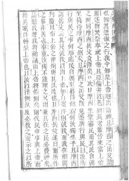
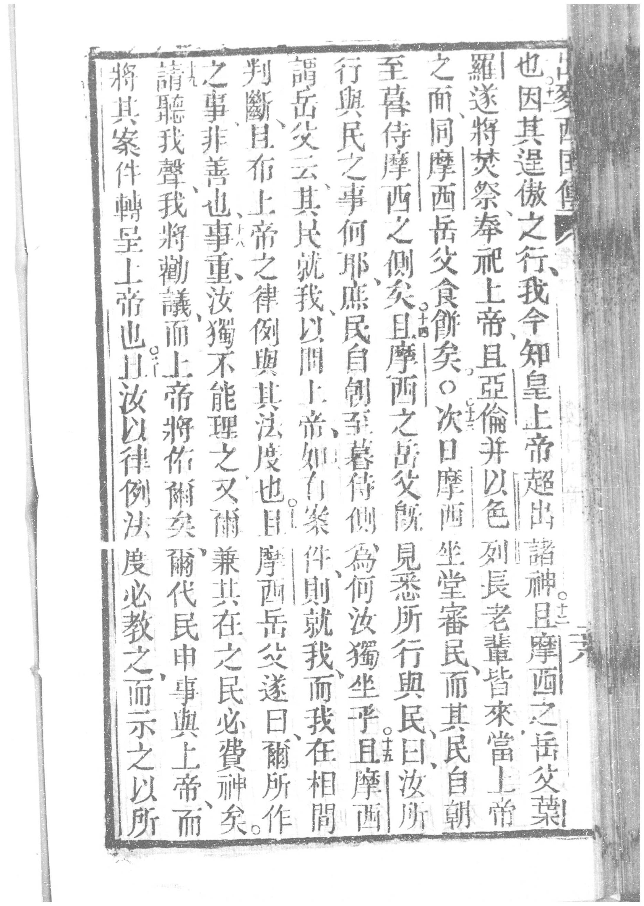
1853年太平天國-舊遺詔聖書-出麥西國傳 出埃及記 18 章 11 節到 18 章 20 節

(按圖可以看高解析度照片) 封面 上一頁 下一頁 回珍本聖經數位典藏計劃首頁

回珍本聖經數位典藏計劃首頁